Accessibility Tools

Skip to main content

Carta Aliran

Carta Aliran

Carta Aliran Prosedur

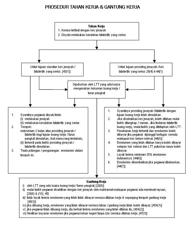
  • Prosedur Tahan Kerja & Gantung Kerja

  • Prosedur Bagi Pegawai Yang Dikenakan Tindakan Perintah Tahanan

  • Prosedur Tindakan Tatatertib Pegawai Yang Terlibat Dengan Kes Jenayah

  • Prosedur Tindakan Tatatertib Bagi Kes Biasa

  • Prosedur Tindakan Tatatertib Tidak Hadir Bertugas Tanpa Cuti / Tanpa Kebenaran / Tanpa Sebab Yang Munasabah

Continue reading

Sukatan / Syarat

Sukatan / Syarat Peperiksaan

Continue reading

Syarat Umum

Syarat Umum

SYARAT UMUM SKIM PERKHIDMATAN BAGI MAKSUD PELANTIKAN KE DALAM PERKHIDMATAN AWAM

KEWARGANEGARAAN
Calon bagi lantikan hendaklah seorang warganegara Malaysia.

HAD UMUR
Calon hendaklah berumur tidak kurang dari 18 tahun pada tarikh tutup iklan jawatan.

PENETAPAN GAJI PERMULAAN
Gaji permulaan yang lebih tinggi daripada gaji minimum boleh ditetapkan oleh Pihak Berkuasa Melantik berkenaan berasaskan kepada pengalaman kerja berkaitan.

TEMPOH PERCUBAAN
Pegawai yang dilantik adalah dikehendaki berkhidmat dalam tempoh percubaan selama 1 hingga 3 tahun.

LATIHAN
Pegawai boleh dikehendaki mengikuti latihan yang ditetapkan oleh Ketua Jabatan/Ketua Perkhidmatan yang berkenaan.

PERGERAKAN GAJI TAHUNAN
Pergerakan Gaji Tahunan adalah tidak automatik dan akan ditetapkan oleh Ketua Jabatan/Perkhidmatan berdasarkan prestasi perkhidmatan.

KEPERLUAN KOMPETENSI POTENSI
Pegawai hendaklah memenuhi kompetensi dan potensi yang ditetapkan untuk kenaikan pangkat


Rujukan:
Pekeliling Perkhidmatan Bilangan 1 Tahun 2024

  • Sistem Pendaftaran Pekerjaan Suruhanjaya Perkhidmatan Awam Malaysia (Sistem SPA9)

    1. Pemohon boleh merujuk terlebih dahulu kepada maklumat Syarat Permohonan dalam Portal Rasmi SPA untuk keterangan mengenai jawatan yang bersesuaian dengan kelayakan akademik yang dimiliki sebelum mengemukakan permohonan dalam Sistem SPA9.
    2. Pendaftaran pekerjaan melalui Sistem SPA9 hanya terhad kepada permohonan pekerjaan bagi Pihak Berkuasa Melantik berikut:
      1. Suruhanjaya Perkhidmatan Awam Malaysia (SPA)
        • Perkhidmatan Awam Am Persekutuan
        • Pentadbiran Kerajaan Negeri Perlis
        • Pentadbiran Kerajaan Negeri Sembilan
        • Pentadbiran Kerajaan Negeri Melaka
        • Pentadbiran Kerajaan Negeri Pulau Pinang
      2. Suruhanjaya Perkhidmatan Kehakiman dan Perundangan (SPKP)
        • Perkhidmatan Kehakiman dan Perundangan
    3. Pautan untuk mendaftarkan pekerjaan melalui Sistem SPA9:
      1. Sistem Pendaftaran Pekerjaan Suruhanjaya Perkhidmatan Awam Malaysia (Sistem SPA9)
      2. Panduan Pengguna Sistem SPA9
      3. Soalan Lazim Mengenai Pendaftaran Sistem SPA9
      4. Infografik Mengenai Sistem SPA9
  • Pengumuman Penting Mengenai Permohonan Pekerjaan Melalui Sistem SPA9

    1. Pendaftaran Akaun Baharu Sistem SPA9
      1. Mulai 1 Julai 2016, Suruhanjaya Perkhidmatan Awam Malaysia telah menambah baik Pendaftaran Pengguna dan Lupa Kata Laluan melalui integrasi maklumat dengan Jabatan Pendaftaran Negara. 
      2. Pemohon berikut hendaklah mendaftarkan ID pengguna SPA9 menggunakan Nombor Kad Pengenalan dan Nama Penuh di Pendaftaran Pengguna (sila pastikan ejaan huruf, jarak dan/atau tanda huruf seperti di dalam Kad Pengenalan):
        • Pemohon yang pernah berdaftar dalam Borang SPA9 dan
        • Pemohon yang pertama kali ingin memohon pekerjaan melalui SPA
      3. Bagi tujuan log masuk, No. Kad Pengenalan adalah nombor kad pengenalan pemohon dan Kata Laluan adalah seperti yang didaftarkan oleh pemohon.
      4. Pemohon yang telah berdaftar dalam Sistem SPA9 tetapi terlupa kata laluan boleh mengisi maklumat di Lupa Kata Laluan untuk menetapkan semula kata laluan.
    2. Maklumat Penting Mengenai Permohonan Pekerjaan Melalui Sistem SPA9
        1. Pemohon hanya dibenarkan mendaftarkan maksimum sehingga 15 jawatan sahaja (termasuk latihan separa perubatan);
        2. Tempoh sah laku pendaftaran pemohon adalah selama satu (1) tahun daripada tarikh pendaftaran (iaitu tarikh pemohon menghantar Perakuan Pemohon dalam Sistem SPA9);
        3. Permohonan pekerjaan melalui Sistem SPA9 adalah tertakluk kepada dasar ‘One Step Lower seperti contoh dalam jadual berikut:

      Kelayakan Akademik Gred Jawatan Yang Boleh Dimohon
      Ijazah Sarjana Muda Gred 9
      Ijazah Sarjana Muda 
      dan
      Diploma/Sijil Tinggi Persekolahan Malaysia (STPM)/Sijil Tinggi Agama Malaysia (STAM)/Matrikulasi Kementerian Pendidikan Malaysia (KPM)/Sijil Politeknik/kelayakan yang diiktiraf setaraf dengannya
      Gred 9
      dan
      Gred 5
      Diploma/STPM/STAM/Matrikulasi KPM/Sijil Politeknik/kelayakan yang diiktiraf setaraf dengannya Gred 5
      Diploma/STPM/STAM/Matrikulasi KPM/Sijil Politeknik/kelayakan yang diiktiraf setaraf dengannya
      dan
      SPM/SVM
      Gred 5
      dan
      Latihan Separa Perubatan (bagi pemohon yang memiliki kelayakan sijil SPM)
      dan
      Gred 1
      SPM/SVM Gred 1
      dan
      Latihan Separa Perubatan (bagi pemohon yang memiliki kelayakan sijil SPM)

      *Pemohon Orang Kurang Upaya (OKU) adalah dikecualikan daripada dasar ‘One Step Lower’.


      1. Pendaftaran pemohon yang tidak memenuhi kriteria seperti di Perkara (b)(i) dan (b)(iii) di atas akan memberi kesan terhadap pertimbangan permohonan pekerjaan melalui Sistem SPA9.
      2. Bagi urusan pengambilan yang dijalankan, hanya pemohon yang melepasi syarat tapisan yang ditetapkan akan dipanggil untuk menduduki Penilaian Memasuki Perkhidmatan Awam (PSEE)/ujian. Calon yang lulus dalam PSEE/ujian tersebut seterusnya akan dipanggil ke sesi temu duga. Panggilan ke PSEE/ujian/temu duga akan dikeluarkan kepada calon yang terlibat melalui e-mel yang didaftarkan dalam Sistem SPA9 serta melalui hebahan pemakluman penjadualan PSEE/ujian/temu duga dalam Portal Rasmi SPA dan Facebook Rasmi SPA. 
      3. Pemohon hendaklah memastikan alamat e-mel yang didaftarkan dalam Sistem SPA9 adalah tepat serta sentiasa menyemak folder Inbox/Spam Mail/Junk Mail dalam e-mel bagi mengelakkan terlepas pandang menerima e-mel pemakluman mengenai panggilan peperiksaan/ujian/temu duga. 
      4. Pemohon bertanggungjawab supaya sentiasa peka dan menyemak dari semasa ke semasa segala pemakluman terkini dalam Portal Rasmi SPA, Facebook SPA serta folder Inbox/Spam Mail/Junk Mail dalam e-mel yang didaftarkan dan semakan status permohonan dalam Sistem SPA9. 

Continue reading

Polisi E-Penyertaan

Polisi E-Penyertaan

Dasar E-Penyertaan ini bertujuan untuk memulakan budaya dan amalan E-Penyertaan demi meningkatkan ketelusan dan penyertaan awam dalam mempertingkatkan mutu perkhidmatan Suruhanjaya Perkhidmatan Awam Malaysia (SPA). SPA sentiasa mengiktiraf penglibatan awam bagi membolehkan Suruhanjaya untuk meneroka perspektif yang lebih luas, sumber maklumat, dan penyelesaian yang berpotensi untuk meningkatkan keputusan dan perkhidmatan. Ia juga menyediakan asas bagi hubungan produktif, dialog dan perbincangan yang lebih baik, dan tadbir urus yang teratur.

Objektif E-Penyertaan adalah untuk melibatkan rakyat dalam dasar pembangunan dan proses membuat keputusan melalui penggunaan teknologi maklumat dan komunikasi. Antara Saluran komunikasi yang digunakan adalah seperti Soal Selidik Atas Talian, Maklum Balas Pertanyaan, Undian, Emel dan Media Sosial SPA iaitu Facebook dan Twitter.

Oleh yang demikian, SPA amat mengalu-alukan penyertaan dengan mematuhi terma dan syarat penyertaan yang telah ditetapkan seperti berikut:

  1. Sebarang kenyataan yang menyentuh sensitiviti sesama kaum, agama dan politik adalah dilarang sama sekali.
  2. Dilarang menjatuhkan maruah, menyerang peribadi & mengeluarkan kenyataan yang boleh menyinggung perasaan peserta yang lain.
  3. Kawal kenyataan anda, elakkan dari mengeluarkan bahasa kesat dan kenegerian.
  4. Tidak digalakkan bersembang atau menghantar ayat yang lari daripada topik utama.
  5. Topik dan pautan ke laman web LUCAH adalah DILARANG sama sekali.
  6. Pastikan kenyataan/topik anda tidak menyalahi peraturan ‘COPYRIGHT LAW’, ‘TRADEMARK’, ‘PATENT’ dan lain-lain.
  7. DILARANG menggunakan ruangan E-Penyertaan ini sebagai tempat untuk menjalankan sebarang peraduan, skim piramid, skim cepat kaya, skim duit internet, surat berantai, emel sampah (junk e-mail) samada secara komersil atau sebaliknya.
  8. Tidak dibenarkan memuat naik fail-fail yang mengandungi virus-virus komputer seperti virus “Trojan Horses”, “worms”, “time bombs”, “cancel boots” atau apa-apa sahaja perisian atau program-program yang boleh merosakkan operasi sesebuah komputer pengguna yang lain.
  9. Pihak pentadbir ruangan E-Penyertaan di dalam mana-mana keadaan tidak mengesahkan, menyokong, mewakili atau menjamin sebarang kebenaran, ketepatan atau kebolehpercayaan mana-mana kenyataan/topik yang di buat di dalam ruangan E-Penyertaan ini. Individu itu sendiri seharusnya faham bahawa sebarang risiko berhubung kebolehpercayaan sesuatu bahan di dalam ruangan ini adalah ditanggung oleh individu itu sendiri.
  10. Pihak pentadbir ruangan E-Penyertaan berhak meminda dan memadam mana-mana kenyataan/topik pada bila-bila masa tanpa memaklumkan kepada penulis kenyataan/topik berkenaan.
  11. Pihak pentadbir ruangan E-Penyertaan berhak meminda Polisi dan Garis Panduan E-Penyertaan ini pada bila-bila masa tanpa sebarang pengumuman/notis.
  12. Sebagai peserta atau mengeluarkan kenyataan dalam ruangan E-Penyertaan ini, anda termaktub dengan terma dan syarat Garis Panduan E-Penyertaan.

Continue reading

Suara Anda

Suara Anda

Senarai yang dipaparkan ini adalah pendapat/ cadangan/ pertanyaan orang awam yang telah dikemukakan bagi meningkatkan mutu perkhidmatan Suruhanjaya Perkhidmatan Awam Malaysia. Setiap cadangan yang telah diambil tindakan akan dipaparkan di ruangan ini. Terima kasih di atas sokongan anda.

Kami mengalu-alukan kerjasama anda untuk memberi pendapat/ cadangan/ pertanyaan ke atas perkhidmatan kami. Saluran yang disediakan adalah:

  • Tahun 2018

    Senarai yang dipaparkan ini adalah pendapat/ cadangan/ pertanyaan orang awam yang telah dikemukakan bagi meningkatkan mutu perkhidmatan Suruhanjaya Perkhidmatan Awam Malaysia. Setiap pendapat/ cadangan/ pertanyaan yang telah diambil tindakan akan dipaparkan di ruangan ini. Terima kasih di atas sokongan anda.

     

    Bil. Pengguna Pendapat / Cadangan / Pertanyaan MAKLUM BALAS / TINDAKAN
    1. JIMSON BIN EBING Salam Sejahtera,

    Terima kasih atas jawaban yang profesional daripada pihak SPA mengenai cadangan/pendapat dan kritikan saya selama ini. Semoga pegawai-pegawai pengurusan dalam SPA sentiasa berjaya dan lebih prihatin kepada golongan-golangan yang tertindas khususnya mereka yang berada dalam gred 19 dan mempunyai Ijazah Sarjana Muda khususnya. Semoga kita diberkati tuhan sentiasa. Sekian.

    Terima Kasih.
    Salam Sejahtera tuan,

    Terima kasih atas sokongan tuan kepada Suruhanjaya Perkhidmatan Awam Malaysia. SPA Malaysia sentiasa mengalu-alukan sebarang cadangan dan idea penambahbaikan demi peningkatan kualiti perkhidmatan kepada para pelanggan SPA. Penghargaan tuan amatlah kami hargai.

    Sekian, terima kasih.

    Unit Perhubungan Korporat Suruhanjaya Perkhidmatan Awam Malaysia
    2. SHEREEN MANESH BINTI ABDULLAH Saya telah mendaftar untuk spa volunteer bagaimana nak memastikan pendaftaran saya itu telah mendapat pengesahan dari pihak spa volunteer? terima kasih. Salam sejahtera,

    Terima kasih kerana menggunakan sistem epertanyaan. Untuk makluman, pendaftaran saudari untuk menjadi ahli SPA Volunteer (SPAVOL) telah diterima dan berstatus 'aktif'. Saudari boleh menyemak pengesahan pendaftaran di Portal SPA. Saudari juga boleh like page Facebook SPAVOL dan follow Instagram SPAVOL untuk mengetahui aktiviti SPAVOL dimasa akan datang.

    Sekian, Terima kasih.

    Unit Perhubungan Korporat
    Suruhanjaya Perkhidmatan Awam Malaysia
    3. CINDY YEO SIAW HUI Selamat malam, Tuan/Puan.

    Untuk tahun baru, portal SPA juga perlu ada penambahbaikan baru. Oleh itu, saya menyuarakan pendapat saya di sini.

    Saya telah lama membuat permohonan jawatan kosong di SPA, tapi malangnya, saya sering dikecewakan dengan komen tidak melepasi tapisan. Kriteria apa yang menyebabkan saya gagal melepasi tapisan?

    Sila beri jawapan yang lebih specifik agar saya tahu kriteria apa yang diwajibkan untuk jawatan yang dipohon.

    Sekian, terima kasih.
    Salam Sejahtera dan Salam 1 Malaysia

    Tuan/Puan,

    1. Terlebih dahulu pihak Suruhanjaya Perkhidmatan Awam Malaysia (SPA) ingin mengucapkan terima kasih di atas kesungguhan tuan/puan ingin berkhidmat dalam perkhidmatan awam. Semakan mendapati jawatan yang dimohon tidak melepasi tapisan yang ditetapkan setakat ini. Persaingan yang sengit di kalangan pemohon juga antara penyebab perkara ini berlaku. Apabila terlalu ramai pemohon memohon jawatan yang sama, tapisan yang lebih ketat/halus akan dipertimbangkan.

    2. Untuk makluman tuan/puan, Suruhanjaya ini mempunyai prosedur dan peraturan tertentu dalam urusan pengambilan. Semua permohonan akan ditapis secara adil dan saksama. Tapisan dari segi gred mata pelajaran /CGPA/bidang pengkhususan/kemahiran profesional dan syarat yang dikenakan oleh Kementerian /Jabatan bagi memilih calon yang terbaik bagi mengisi kekosongan jawatan tersebut.

    3. Selain itu, punca lain yang menyebabkan jawatan yang dimohon tidak melepasi tapisan yang ditetapkan adalah kerana kekerapan calon dalam mengemaskini borang pendaftaran juga boleh menjejaskan urusan di peringkat tapisan. Pengemaskinian borang akan menyebabkan tarikh permohonan akan berubah mengikut yang terkini. Oleh itu, sebaiknya calon tidak terlalu kerap mengemaskini borang pendaftaran dan menunggu sehingga tarikh permohonan luput boleh mengemaskini permohonan (jika tiada sebarang perubahan maklumat/jawatan yang ingin dilakukan).

    4. Namun begitu, jika tuan/puan ingin mengetahui dengan lebih lanjut mengenai permohonan tuan/puan yang tidak melepasi syarat semasa yang ditetapkan Suruhanjaya, sila hubungi Bahagian Pengambilan Khas (Unit Proses) di talian 03-8885 6256 / 6261 / 6280 / 6248 atau 03-8880 6451 (pengambilan bagi Gred 19 ke bawah), (Unit Separa Perubatan) di talian 03-8885 6254 / 6281 / 6295 / 6264 / 6267 atau 03-8880 6435 / 6436 (pengambilan Separa Perubatan Gred 29 dan 19), Bahagian Pengambilan (Unit Proses) di talian 03-8885 6364 / 6370 / 6345 / 6259 / 6355 / 6362 / 6128 / 6146 / 6374 (pengambilan bagi Gred 29 ke atas) atau (Unit Perubatan) di talian 03-8885 6313 / 6338 / 6372 (pengambilan bagi Gred 41).

    5. Diharapkan tuan/puan tidak berputus asa memandangkan urusan pengambilan yang dijalankan oleh SPA adalah adil dan telus berasaskan prosedur pengambilan yang diamalkannya. Hanya calon yang berjaya melepasi tapisan akan dipanggil temu duga. Semoga berjaya!

    Sekian, terima kasih.
    4. HAINAH BINTI DILIS Saya terlupa kata laluan. Saya masuk dlm laman lupa kata laluan dan semua maklumat sudah saya isi tetapi ianya tiada perubahan.. dalam keterangan ic salah dan nama ibu salah tetapi maklumat saya isi sudah betul.. tolong reset akaun saya kembali.. Salam sejahtera, Tuan/Puan/Cik,

    Sekiranya terlupa kata laluan, sila klik pautan LUPA KATA LALUAN dan anda boleh memilih reset kata laluan menggunakan dua pilihan iaitu:-

    i. Nama Ibu (tidak perlu binti) dan Negeri Kelahiran Calon

    ii. Alamat Pada Kad Pengenalan

    Secara automatik pilihan (i) akan dipilih. Jika anda ingin mengubah pada pilihan (ii), sila tukar pilihan anda di medan Jenis Soalan Keselamatan.

    Bagi pilihan (i), anda diminta memasukkan Kad Pengenalan dan Nama Penuh (seperti di dalam Kad Pengenalan).Masukkan nama pertama ibu dan negeri kelahiran anda. Kemudian masukkan kata laluan baharu (minima 8 aksara), sahkan kata laluan, masukkan Kod Keselamatan (case sensitive) dan klik HANTAR. Anda perlu mengingati nama pertama ibu (first name tanpa last name) dan negeri kelahiran sama seperti yang didaftarkan semasa pendaftaran MyID.

    Bagi pilihan (ii), anda diminta masukkan alamat anda sama seperti di dalam Kad Pengenalan.

    Pastikan semua medan bertanda * diisi. Selepas semua medan diisi, klik butang HANTAR. Anda boleh log masuk terus ke SPA8i sekiranya reset kata laluan berjaya.

    Terima kasih.
  • Tahun 2017

    Bil. Pengguna Pendapat / Cadangan / Pertanyaan Maklum Balas / Tindakan
    1. Gobril Marcos Anak Gundah Salam sejahtera. Saya yang bernama di atas merujuk kepada masalah berkenaan. Kenapa setiap kali saya cuba memohon dan mengemaskini akaun SPA langsung tidak memenuhi syarat yang ditetapkan oleh pihak tuan walhal saya seringkali mengemaskini akaun SPA terutamanya bagi jawatan pembantu kesihatan awam dan pembantu pembedahan pergigian. Ini sudah kali kesepuluh saya memohon jawatan ini, tetapi tidak memenuhi syarat sedangkan separa perubatan ini memenuhi syarat seperti dalam sijil akademik saya. Saya sangat hairan. Saya berharap sangat-sangat agar kali ini pihak tuan mempertimbangkan masalah ini. Setiap kali ada masalah sebegini, mesti saya membuat kritikan melalui saluran ini beberapa kali. Terima kasih. Salam sejahtera, Pertanyaan saudara dirujuk dan berdasarkan semakan ke atas pengkalan data, pihak kami mendapati saudara tidak mememuhi syarat 3 tahun berkhidmat dan ini merupakan punca utama suadara gagal tapisan awal. sehubungan dengan itu, mohon saudara mohon semula apabila memenuhi syarat tersebut nanti. Jika terdapat sebarang pertanyaan lanjut boleh berhubung di talian 082-240011. Sekian, terima kasih. Suruhanjaya Perkhidmatan Awam Malaysia Cawangan Sarawak
    2. Faizal Bin Marhan Untuk makluman saya telah menghadiri Ujian Fizikal untuk jawatan pegawal keselamatan kp11 yg telah diadakan pada hari ini 13 feb 2017 d Pejabat Ketua Pengawal Keselamatan Kerajaan Malaysia dan saya telah lulus semua ujian saringan bmi,pancaindera, dan hampir lulus keseluruhan namun begitu apabila pegawai berkenaan mendapati saya mempunyai jari yang lebih,saya terus digagalkan setelah mereka berbincang.Dengan alasan ketidasempurnaan anggota badan bagi saya ini satu DISKRIMINASI.Adakah ini dikira sebagai cacat atau tidak sempurna kerana sepengetahuan saya cacat atau tidak sempurna adalah kurang anggota tubuh badan. Ini adalah panggilan pertama saya selama 20 tahun dan agak berkecil hati dengan isu ini. Sekiranya berjari lebih dianggap ketidaksempurnaan tubuh badan dan boleh digagalkan, bolehkira ditambah didalam syarat-syarat menghadiri temuduga.Oleh demikian,tidaklah yang senasib seperti saya akan menerima atau memohon jawatan sepatutnya. Kerjasama dari pihak tuan saya dahulukan ucapan terima kasih Assalamualaikum tuan, Untuk makluman tuan seperti yang telah diberitahu oleh Ketua Penguji untuk jawatan KP11 adalah benar. Sememangnya kelebihan anggota jari atau kekurangan anggota badan adalah termaktub di dalam cacat anggota badan kerana ianya tidak seperti anggota badan yang sempurna. Syarat ini digunapakai untuk semua jawatan beruniform termasuklah jawatan Pegawai Keselamatan KP11. Untuk cadangan yang telah pihak tuan berikan supaya ditambah dalam syara-syarat temuduga pihak SPA akan mempertimbangkan hal tersebut. Walaubagaimanapun pihak SPA mengucapkan ribuan terima kasih diatas kehadiran tuan menjalani ujian fizikal dan pancaindera bagi jawatan KP11 ini. Sekian, terima kasih. Suruhanjaya Perkhidmatan Awam Malaysia (SPA)
    3. Siti Norshaheera Binti Mat Saat saya hadir semasa pemeriksaan fizikal yang dijalankan pada tarikah 17/2/2017 di dataran batu buruk kuala terengganu pada hari berkenaan bagi jawatan kp11. persoalannya?? kenapa dalam semakan pemohon spa menyatakan tidak hadir semasa ujian pemeriksaan? Adakah ini semua main dalam ketelusan menjalankan perkerjaan yang di amanahkan. Assalamualaikum dan Salam Sejahtera Puan, Pada 17/2/2017 puan hadir ke ujian fizikal dan kecergasan bagi jawatan KP11 namun puan dimaklumkan oleh Ketua Penguji untuk tidak meneruskan Ujian Fizikal disebabkan faktor puan mengandung 7 bulan. Justifikasi mengapa pihak SPA menyatakan bahawa Puan tidak hadir ujian tersebut kerana Puan tidak langsung menjalani ujian fizikal tersebut dan SPA mengklasifikasikan puan sebagai calon tidak hadir Ujian Fizikal tersebut. Namun jika Puan masih berminat mengenai jawatan ini, Puan digalakkan untuk memohon dan seterusnya memastikan borang SPA8i berada dalam tempoh sah laku hanya 1 tahun sahaja. SPA tidak akan menyenaraihitamkan calon yang tidak hadir peperiksaan, ujian fizikal mahupun assessment centre. Dharapkan penjelasan ini dapat merungkaikan pertanyaan puan diatas, Sekian, terima kasih. Suruhanjaya Perkhidmatan Awam Malaysia (SPA)
    4. Mariati Binti Samat Salam sejahtera, Saya mencadangkan agar pilihan untuk memadam rekod permohonan SPA atas talian secara kekal diwujudkan agar tiada jemputan menghadiri peperiksaan/pusat penilaian/temu duga dihantar kepada calon-calon yang tidak lagi berminat. Saya ambil maklum rekod permohonan perlu dikemaskini dalam tempoh setahun daripada tarikh permohonan, tetapi dalam tempoh itu juga, panggilan daripada SPA tetap dikeluarkan. Sila pertimbangkan cadangan saya ini. Sekian, terima kasih. Assalamualaikum... Adalah dimaklumkan bahawa tempoh sah laku permohonan SPA8i adalah setahun. Sekiranya calon tidak mengemaskini permohonan selepas tarikh sah laku, calon tidak akan dipanggil/ditapis untuk temuduga seterusnya. Sekian, terima kasih.
    5. Nurul Badiah Binti Mohd Zainal Salam sejahtera. Seperti yang dinyatakan di atas. Apakah yang perlu saya lakukan jika institusi yang mengeluarkan sijil tiada dalam senarai? saya adalah graduan Physiotherapy daripada Meenakshi College,India. yang ada di dalam senarai adalah Meenakshi Ammal Dental College & Hospital. Untuk pengetahuan Tuan/Puan, ia sebenarnya university yang sama cuma berlainan department. Assalamualaikum. Semak dahulu pengiktirafan kelayakan bagi diploma/sijil yang dimiliki dengan klik kepada pautan eSisraf Sistem Pengiktirafan Kelayakan dalam Portal Kementerian Pengajian Tinggi (KPT) di https://app.mohe.gov.my/iktiraf . Masukan nama Institusi dan pilih medan pengkhususan yang disenaraikan oleh KPT dalam medan yang disediakan dalam Sistem eSisraf tersebut. Sebagai peringatan, sekiranya diploma/sijil yang anda perolehi masih belum diiktiraf oleh Kerajaan bagi maksud lantikan dalam perkhidmatan awam (iaitu ijazah/diploma/sijil tiada dalam eSisraf), sila berhubung dengan Kementerian Pengajian Tinggi (KPT) mengenai pengiktirafan tersebut. Puan tidak dibenarkan mengisi bidang pengkhususan dari institusi yang masih belum diiktiraf kerajaan bagi maksud pelantikan dalam perkhidmatan awam dalam Borang SPA8i ini. Bidang kuasa pengiktirafan bidang atau kelulusan institusi pengajian tinggi adalah terletak di bawah bidang Kementerian Pengajian Tinggi (KPT), bukan SPA. Syarat lantikan ke perkhidmatan awam pula memerlukan bidang atau kelulusan institusi berkenaan diiktiraf oleh KPT. Sehubungan itu, untuk pertanyaan lanjut berkaitan pengiktirafan, puan boleh menghubungi Bahagian Pengurusan Sumber Manusia (Pengurusan Pengajian Tinggi), Kementerian Pendidikan Tinggi ditalian 03-8870 4308/ 6700 / 5199 / 5260 atau e-mel:This email address is being protected from spambots. You need JavaScript enabled to view it. untuk mendapatkan maklumat lanjut. Sekian, terima kasih.
    6. Jareh Jerry Bin Manginda Salam hormat, salam sejahtera tuan/puan. Saya terfikir memberikan cadangan kepada pihak spa / jpa bagi membangunkan data graduan siswazah bagi seluruh warganegara malaysia yang telah bergelar siswazah atau berkelulusan. Buat masa ini, data semakan siswazah hanya dapat disemak melalui ipta/ipts masing-masing. Oleh itu, adalah lebih baik jika dibangunkan data berpusat bagi semakan siswazah ini melalui spa / jpa. Contohnya, baiknya ada pautan carian senarai siswazah dalam laman web spa atau jpa. Seterusnya, sekiranya pemohon pekerjaan dalam online spa, hanya memasukkan no. K/p maka dipaparkan maklumat akademik bagi si pemohon pekerjaan tersebut. Bagi mengumpulkan data siswazah ini, semua lepasan ipta/ipts perlulah wajib mengisi maklumat dan upload sijil kelulusan masing-masing yang disahkan benar. Baik juga, jika data ini diambil dari data pmr/spm. Kebaikan dari cadangan ini, memudahkan pencarian dan pengesanan yang tepat tentang seseorang siswazah. Selain itu, kes-kes penipuan sijil kelulusan juga dapat dielakkan. Ini satu inovasi bagi memantapkan data siswazah di malaysia iaitu melalui data berpusat graduan siswazah malaysia. Sekian cadangan saya. Terima kasih. Salam Sejahtera, Pihak SPA mengucapkan terima kasih atas cadangan yang diberikan dan akan dipertimbangkan untuk penambahbaikan urusan-urusan di SPA di masa akan datang. SPA
    7. Mohd Fadzil Bin Mohd Yusoff Assalamualaikum w.b.t dan Salam Sejahtera Merujuk kepada perkara di atas. Saya Mohd Fadzil bin Mohd Yusoff dari Melaka ingin memberikan pendapat terhadap sistem tapisan CGPA bagi sesuatu urusan pengambilan calon untuk sesuatu jawatan kumpulan Pengurusan dan Profesional (P&P) Gred 41 bagi pegawai sedang berkhidmat. Persoalan : Pihak SPA ada membuat tapisan bagi beberapa jawatan di dalam Pengurusan dan Profesional (P&P), saya ada terlibat dalam beberapa jawatan yang dilaksanakan urusan tapisan. Malangnya saya tidak melepasi tapisan semasa SPA. Cadangan : Saya mencadangkan agar syarat CGPA bagi pegawai yang sedang berkhidmat diturunkan agar kami dapat berpeluang dalam sesuatu urusan tapisan tersebut. Bagi kami yang menyambung pengajian secara PJJ, lebih-lebih lagi menggunakan wang sendiri, amatlah wajar jika kami diberi peluang untuk mencuba nasib dalam sesuatu urusan tapisan jawatan gred 41 tersebut. Saya memohon jasa baik pengursan Tapisan SPA dan Kementerian/ Jabatan agar tapisan CGPA bagi kami yang sedang berkhidmat ini diturunkan agar mendapat peluang mengambil bahagian dalam urusan pengambilan yang dibuat. Jika masih pihak SPA mengekalkan CGPA yang tinggi alamatnya kami yang CGPA rendah ini tiada peluang untuk ambil bahagian. Tidak mustahil CGPA yang rendah ini adalah calon yang sesuai utk mengisi kekosangan gred 41. Pengalaman yang ada perlu juga di ambil kira semasa tapisan dibuat. Pihak SPA perlulah membuat sesuatu pembaharuan dalam proses tapisan calon bagi pegawai yang sedang berkhidmat. Sekian, terima kasih. MOHD FADZIL BIN MOHD YUSOFF Melaka Tuan, Berkaitan dengan perkara tersebut, tuan boleh memohon jawatan yang diminati dan bersesuaian. Namun walaubagaimanapun, proses tapisan bagi kelayakan calon adalah tertakluk kepada pengisian dan kehendak jabatan/kementerian tersebut. Keperluan pada masa urusan pengambilan tersebut dilaksanakan dan ianya tidak statik dan akan berubah terhadap urusan pengambilan yang lain walaupun bagi urusan perjawatan yang sama.Tuan boleh merujuk pada maklumat mengenai kesesuaian jawatan yang dipohon dengan kelulusan akademik boleh didapati di ruangan Maklumat Jawatan (Gaji/Syarat Lantikan/Deskripsi Jawatan). Proses tapisan hanya akan dijalankan setelah Suruhanjaya Perkhidmatan Awam Malaysia menerima laporan pengisian kekosongan jawatan dari Kementerian/Jabatan. Pemohon yang melepasi tapisan semasa akan dipanggil oleh Suruhanjaya Perkhidmatan Awam Malaysia bagi menghadiri ujian/ temu duga berdasarkan jawatan yang dipohon.
  • Tahun 2016

    Bil. Pengguna Pendapat / Cadangan / Pertanyaan Maklum Balas / Tindakan
    1. Mohammad Effendi Bin Abdul Talib Pendapat saya, model peperiksaan online PTD yang dijalankan sekarang yang boleh diduduki di mana-mana sahaja tidak dapat mengukur tahap pengetahuan sebenar calon kerana calon mempunyai ekses kepada berbagai bentuk bantuan semasa menjawab soalan peperiksaan. Saya mencadangkan agar peperiksaan ini menggunakan model peperiksaan online yang dibuat dan digunapakai oleh Malaysian Insurance Institute dan juga IBFIM yang memerlukan calon untuk hadir di pusat makmal komputer bagi menduduki peperiksaan. Di mana calon tidak mempunyai ekses kepada sebarang bentuk bantuan dan rujukan semasa menjawab solan peperiksaan. Ini dapat memastikan hanya calon peperiksaan sahaja yang menjawab soalan peperiksaan tanpa sebarang bantuan yang tidak sepatutnya seperti menjawab solan beramai-ramai atau dengan google untuk mencari jawapan. Penambahbaikan segera perlu dilakukan bagi memberi lebih keadilan kepada semua calon peperiksaan dan memberi manfaat kepada SPA bagi mendapatkan hanya calon yang benar-benar layak. Sekian, terima kasih. Tuan, Pihak SPA telah mengkaji pelbagai kemungkinan bagi memastikan semua calon mendapat manfaat sebelum Peperiksaan Online ini diperkenalkan. Terima kasih atas cadangan yang diberikan. Sekian.
    2. Lai Ah Mooi Saya berpendapat segala persediaan dan pengendalian untuk Peperiksaan Online Memasuki Perkhidmatan Pegawai Tadbir Dan Diplomatik M41 oleh SPA pada 19 Jan 2016 adalah baik dan bagus. Saya amat berharap saya dapat dipanggil untuk mengikuti Program Assessment Centre. Terima kasih. Tuan, Terima kasih atas pandangan tuan. Selamat maju jaya. Sekian, terima kasih.
    3. Siti Nor Erwani Binti Mohd Sidik Masa yang diperuntukkan untuk menjawab soalan seksyen 2 tidak mencukupi. Pada pendapat saya, masa seharusnya ditambahkan lagi dengan sewajarnya. Salam Sejahtera, Peperiksaan telah selesai dijalankan. Untuk makluman seramai 57,320 orang telah berjaya memasuki peperiksaan tersebut termasuk calon-calon yang sedang berada di luar negara seperti Indonesia, Jepun, Korea, Singapura dan Australia. SPA sedang memproses data untuk tujuan mengeluarkan keputusan peperiksaan. Sekian, terima kasih.
    4. Hajar Awanis Binti Anuar Salam. Saya baru sahaja menerima keputusan kegagalan saya dalam PEPERIKSAAN PTD 19 Januari 2016 baru-baru ini. Apa yang saya kesal adalah sistem internet dan server yang sangat perlahan, saya hanya boleh log in masuk ketika lagi 10 minit sebelum peperiksaan section A tamat. Apa yang mendukacitakan, peperiksaan online ini bukanlah kali pertama SPA jalankan, SPA sewajarnya mengambil langkah-langkah yang lebih proaktif dan efisyen dalam menangani masalah "jammed" sebelum ingin log in portal peperiksaan tersebut. Salam Sejahtera, Terima kasih di atas cadangan puan terhadap penambahbaikan Sistem Peperiksaan Online SPA. Pihak SPA ambil maklum akan cadangan tersebut. Sekian, terima kasih.
    5. Mohd Izuwan Bin Mohd Ali Selamat pagi dan salam sejahtera, Saya terpanggil untuk memberikan sedikit pendapat mengenai PAC yang baru diadakan pada 13 Feb 2016. Tahun ini pihak spa telah memulakan semula pac bagi jawatan ptd. Memang ia satu langkah yang baik dan juga pihak spa telah memasukkan UKJK sebagai salah satu syarat wajib yang perlu dilalui sebelum berjaya meneruskan pac. Saya bukan bercakap dan memberi komen atas dasar tidak puas hati tetapi sekadar untuk memberikan sedikit cadangan dan pandangan. Di dalam pac kali ini BMI salah satu perkara yg perlu dilepasi oleh pemohon. Sekadar terlintas di pikiran, apakah kriteria yang dicari oleh pihak spa bagi mengisi kekosongan jawatan ini...? Tidak semestinya calon yang lebih bmi adalah calon yang tidak baik dan tidak semestinya calon yang lepas bmi dan ujian jasmani adalalah calon yang baik.sepatutnya pihak spa wajar memberikan peluang yang sama rata kepada semua calon dalam proses pac ini..ini kerana bagi saya adalah lebih baik calon dinilai dari semua aspek dan bukan hanya kepada aspek jasmani dan fizikal.sebelum mendapat tawaran pac kesemua calon ini telah melalui ujian online dan hanya mereka yang berjaya sahaja layak ke pac. Pihak spa juga semestinya lebih tahu dan arif mengenai tahap peperiksaan online yang telah dilalui oleh calon. Disini saya melihat proses pac pada tahun ini lebih kepada diskriminasi kepada mereka yang terlebih berat...peluang sama rata harus lah diberi kepada semua calon pac dalam menonjolkan keupayaan mereka. Sia sia sahaja meraka ini datang seawal jam 7 pagi bagi proses pac tetapi selepas menunggu hampir 2 jam mereka dipanggil ke bilik berasingan dan diberitahu bahawa mereka gagal kerana bmi mereka tidak melepasi syarat lulus iaitu dari 19-29.seharusnya nya calon dinilai dari semua aspek dari pengetahuan saya mereka yang berjaya dalam semua tahap akan ditawarkan sebagai kadet ptd. Dalam masa beberapa bulan mereka akan melengkapkan program kadet ptd dan inilah masa yang sesuai untuk membentuk seorang pegawai tadbir diplomatik yang berkualiti setaraf dengan kemegahan jawatan ini sendiri.apa pun ini hanyalah pandangan dan pendapat saya. Semuanya terserah kepada pihak spa dalam menntukan proses dan penilaian itue sendiri demi kebaikan di masa yang akan datang.... Sekian,terima kasih :-) Tuan, Pihak SPA dan JPA telah mempertimbangkan semua kriteria penilaian bagi membuat pemilihan terbaik Kadet Pegawai Tadbir dan Diplomatik Gred M41 bagi sesi 2016. Sekian.
    6. Nur Ain Binti Marsidi Salam 1 Malaysia, Tuan/puan Dengan rendah dirinya saya sebagai orang awam ingin memberi pendapat tentang tempat seminar spa outreach yang sering pihak tuan/puan anjurkan. Selama empat tahun saya menunggu nama daerah Kudat sebagai salah satu tempat untuk seminar ini dijalankan,tetapi rasanya sehingga kini masih belum menjadi pilihan pihak tuan/puan. Sekiranya sudi saya memohon pihak tuan/puan mengadakan seminar ini di daerah Kudat kerana ramai di antara sahabat dan kaum keluarga saya yang masih tidak mahir dan tahu tentang spa8.Kehadiran tuan/puan ke sini sangat saya hargai. Terima kasih atas perhatian dan maklumbalas dari pihak tuan/puan. Dengan segala hormatnya saya merujuk kepada aduan puan yang bertarikh 17 Februari 2016. Terlebih dahulu Suruhanjaya ini menyucapkan ribuan terima kasih di atas cadangan puan berkenaan pelaksanaan Outreach SPA di Kudat. Suruhanjaya ini mengambil maklum di atas cadangan tersebut dan akan menyenaraikan Kudat sebagai destinasi Outreach SPA pada masa akan datang.
    7. Nor Amalina Binti Azmi Cadangan supaya spa memberi peluang kepada pemohon untuk mengisi jawatan mengikut kesemua kelayakan yang kami ada Dengan keadaan sekarang, pelajar yang tamat belajar teramat susah untuk mendapat kerja dan terpaksa bekerja biasa dan ala kadar sahaja. Saya rasa SPA patut memberi peluang kepada pelajar/pemohon mengisi jawatan mengikut kesemua kelayakan yang kami ada. Hal ini kerana untuk mendapat jawatan mengikut kelayakan teringgi teramat susah. Janganlah menyekat peluang kami dengan keadaan sekarang. Bukalah semula peluang seperti dahulu. Saya dan pemohon seangkatan amat menentang cara yang SPA gunakan sekarang ini. Fahamlah kesusahan dan peluang yang terlampau terhad yang ditanggung pelajar-pelajar sekarang ini. Terima Kasih Salam sejahtera, Untuk makluman puan, Mesyuarat Suruhanjaya Bil. 28/2015 pada 03 Ogos 2015 telah memutuskan bahawa konsep One Step Lower akan dilaksanakan dalam permohonan jawatan dan telah berkuat kuasa bermula pada tarikh tersebut yang mana calon boleh memohon jawatan yang tidak melebihi satu peringkat lebih rendah dari kelayakan yang ditetapkan untuk jawatan tersebut dan calon juga turut mempunyai kelayakan di peringkat berkenaan. Sebagai contoh : 1. Calon yang memiliki kelayakan Ijazah Kepujian/Am boleh memohon jawatan yang mensyaratkan kelulusan di peringkat Diploma/STPM dengan syarat calon mempunyai kelayakan di peringkat Diploma/STPM. 2. Calon yang memiliki kelayakan Diploma/STPM pula boleh memohon jawatan yang mensyaratkan kelayakan masuk SPM. Sekian, terima kasih.
    8. Mohd Firdaus Bin Ramlan Kehadapan Dato' Seri Arpah, Assalamualaikum Dato' Seri, Biar saya terus kepada perkara pokok yang saya ingin kritik di sini mengenai pengendalian pihak SPA semasa PAC PTD M41 tahun ini. Sebenarnya Dato' Seri, saya tidak mahu memanjangkan perkara ini sejak 'dihalau balik' daripada PAC yang saya hadiri pada 17/02/2016 di Wilayah INTAN Selatan bulan yang lalu. Tetapi hari ini saya rasa terpanggil untuk mengkritik cara pihak SPA mengendalikan situasi dan ketelusan maklumat. Saya hairan Dato' Seri, kenapa SPA bagi saya masih tidak informatif dan mesra rakyat. melihat dengan keadaan politik dan kuasa media massa pada ketika ini, saya cadangkan SPA patut keluar dari Zon selesa dan berubah ke arah 'khidmat mesra kepada rakyat'. Ini ekoran situasi di mana saya dan beberapa calon lain telah 'dihalau balik' dari meneruskan PAC pada Februari yang lalu. Saya yakin dan percaya mungkin Dato' Seri maklum akan perkara ini. Alasan yang diberikan oleh Pegawai yang kendalikan PAC tersebut adalah Tan Sri KSN mengarahkan Calon Kadet PTD perlu mempunyai BMI dalam lingkungan 19-30. Saya tidak pasti adakah perkara itu benar namun saya ambil dari sudut positif. Cuma saya ingin kritik, mengapa 'tapisan' atau 'screening' ini tidak dimaklumkan atau dihebahkan kepada rakyat atau calon yang ingin mengambil pepereksaan PTD lebih awal. saya ada menghubungi SPA sebelum saya pergi ke PAC tersebut namun apa yang saya boleh katakan, Pegawai Dato' Seri masih kurang informatif dan tidak mampu menyampaikan maklumat yang lebih tepat. Dato' Seri, adakah negara kita sangat ketinggalan berbanding dengan kerajaan negara lain sehingga perkara yang amat mudah ini tidak mampu disampaikan kepada rakyat dengan telus dan tepat. adakah bajet negara yang digunakan untuk membangunkan modal insan pegawai kerajaan tidak membuahkan hasil malah masih kurang produktif. saya perlu katakan begini kepada Dato' Seri kerana saya adalah rakyat dan saya amat peka pada perkhidmatan kerajaan kepada rakyat. adakah permintaan Tan Sri KSN itu dikategorikan sebagai rahsia kerajaan yang sangat sulit dan mampu menggugat keselamatan negara sehingga tidak boleh dimaklumkan dengan tepat kepada rakyat. Maaf Dato' Seri, saya bukan seperti rakyat kebanyakan yang mudah terpedaya dengan retorik dan mainan politik yang tidak berkesudahan sampai ke hari ini. Persoalan saya amat mudah. Mengapa ianya tidak dimaklumkan sebagai syarat mandatori kepada Calon PTD seawal sebelum mengambil peperiksaan lagi. Saya mengikuti SPA melalui Facebook, mesyuarat demi mesyuarat untuk memilih dan menentukan kritiria calon yang hendak menjadi pegawai kerajaan. adakah membuang masa dan membazir wang rakyat merupakan keperluan SPA untuk melihat semangat Calon PTD. saya rasa Dato' Seri boleh bayangkan sendiri dari mula saya bertolak (Putrajaya) ke Kampus Intan Wilayah Selatan (Batu Pahat) dengan semangat mahu menjadi Pegawai PTD namun hakikatnya saya hanya membuang masa kerana alasan arahan Tan Sri KSN yang tidak disampaikan dengan cara yang lebih tepat. Jika maklumat itu disampaikan dengan baik dan lebih profesional, saya rasa tidak perlu membazirkan wang dan menggadai nyawa pada hari tersebut kerana memang tidak masuk akal untuk saya kurangkan berat badan dalam tempoh 10 hari. Dato' Seri, saya sebenarnya bukan seorang yang suka mengkritik kerana saya percaya setiap individu akan berubah ke arah yang lebih baik. cuma situasinya sekarang, maklumat yang begitu mudah tidak dapat disampaikan kepada rakyat dan ianya berlaku pada zaman yang serba moden. Saya tidak marah dan saya profesional Dato' Seri. Saya berkhidmat di sektor perbankan dan sememangnya 'work attitude' saya lebih kepada fakta dan ketelusan maklumat. saya pernah berkhidmat di sektor kerajaan persekutuan dan kerajaan negeri. memang benar jurang kecekapan itu ada. tetapi saya yakin dan percaya perkhidmatan kerajaan pada masa ini sepatutnya lebih baik dan efisen namun sedih perkara yang amat mudah ini masih berlaku. saya mohon maaf sekiranya penulisan saya ini telah menyinggung perasaan Dato' Seri dan rakan-rakan perkhidmatan awam yang lain. Cuma saya harap pada masa hadapan, SPA lebih telus, mesra pengguna dan tidak mengambil mudah pada sesuatu perkara. kerana ia melibatkan nyawa dan wang ringgit rakyat. Semoga Dato' Seri terus mentadbir SPA dengan lebih baik. Sekian terima kasih. Sdra, terima kasih dan kami hargai di atas maklumbalas yang sdra berikan. Pandangan sdra tersebut akan kami ambilkira supaya pelaksanaan urusan pengambilan PTD di masa hadapan akan lebih sempurna. terima kasih.
    9. Mohd Badrul Hisyam Bin Mat Lazim Assalamualaikum w.b.t. Tuan/Puan, Saya adalah lulusan Ijazah Sarjana Muda (Sains) Perladangan dari Uitm. Saya berasa amat sedih dan kecewa setiap kali menyemak permohonan saya di portal SPA. Hal ini kerana semua keputusan adalah tidak melepasi syarat kemungkinan disebabkan tapisan pengkhususan. Untuk makluman pihak tuann/puan, kursus yang saya telah ikuti iaitu pengurusan perladangan merupakan satu kursus yang merangkumi pelbagai bidang seperti pertanian, ukur tanah, perakaunan, pengurusan dan sebagainya. Bukan itu sahaja, bahkan Pengurusan Perladangan juga merupakan sebahagian daripada pertanian dimana kebanyakan subjek yang di ambil adalah berkaitan pertanian sebagai contoh Agricultural Biotechnology, Soil Science, Plant pathology, Entomology dan sebagainya. Jadi di sini, saya ingin memohon agar pihak tuan/puan menyemak semula tentang tapisan pengkhususan kerana bidang kami juga menyumbang kepada bidang pertanian tetapi tidak layak untuk memohon jawatan seperti pegawai pertanian, pegawai penyelidik bahagian pertanian dan apa-apa jawatan yang berkaitan dengan pertanian. Tambahan pula, portal SPA tidak meminta transkrip sedangkan transkrip memaparkan maklumat yang lebih jelas tentang pengkhususan bidang. Saya faham pihak tuan/puan juga mengalami kesulitan untuk meneliti permohonan yang terlampau banyak. Namun begitu, saya amat berharap pihak tuan/puan juga dapat membuka peluang yang lebih besar kepada kami. Sekurang-kurangnya dipanggil untuk menghadiri temuduga agar apa yang kami pelajari tidak dipersiakan malahan dapat dipraktikkan di dalam dunia pekerjaan. Saya mengucapkan ribuan terima kasih kepada pihak tuan/puan kerana memberikan ruang kepada saya untuk menyatakan kekesalan dan pendapat. Saya berharap pihak tuan/puan dapat memberikan feedback yang positif. Sekian terima kasih. Salam sejahtera. Saudara, Tiada tempoh yang ditetapkan bagi proses di atas kerana selepas selesai proses pendaftaran, semua data permohonan akan disimpan di dalam Bank Data Suruhanjaya Perkhidmatan Awam Malaysia. Proses tapisan hanya akan dijalankan setelah Suruhanjaya Perkhidmatan Awam Malaysia menerima laporan pengisian kekosongan jawatan dari Kementerian/Jabatan dan kelayakan pemohonadalah tertakluk kepada Kementerian /Jabatan tersebut. Pemohon yang melepasi tapisan semasa akan dipanggil oleh Suruhanjaya Perkhidmatan Awam Malaysia bagi menghadiri ujian/ temu duga berdasarkan jawatan yang dipohon. Terima kasih kerana menggunakan perkhidmatan e-pertanyaan. Kami mengambil perhatian cadangan saudara. Sekian.
    10. Norazlin Binti Ab Wahab Merujuk kepada tajuk di atas, walaupun status diberi SELESAI namun saya ingin menarik perhatian terhadap perkara 1 terutama dalam tapisan terhadap CGPA kerana saya tidak mempunyai masalah dalam kredit matapelajaran tertentu atau bidang pengkhususan dalam kes permohonan jawatan PTD. Apabila data telah dikecilkan dengan hanya mengambil kira CGPA di dalam kes ini, sudah tentu beberapa pemohon yang mempunyai kebarangkalian untuk melepasi exam online telah pun diketepikan. Inilah sebabnya saya memohon skop data diperluaskan dengan menilai setiap peperiksaan terutama diperingkat sekolah menengah. Kajian atau postmortem sepatutnya dibuat mengapa calon yang telah diberi peluang gagal melepasi saringan terutama di dalam kertas B. Saya memahami kemungkinan server untuk menampung jumlah calon peperiksaan online ini terhad kerana terdapat beberapa masalah teknikal telah diadukan ketika ia berlangsung. Sudah tentu dengan memperluaskan lagi bilangan calon akan menyebabkan lebih tinggi kebarangkalian masalah teknikal. Namun, apabila perkara ini dipandang remeh maka lihatlah hasilnya. Intelligent does not mean that you are wise, but wise is always intelligent. Dijajah negara bukanlah suatu pilihan tetapi dijajah pemikiran adalah pilihan diri sendiri. Sekian, terima kasih. Norazlin Assalamualaikum dan Salam Sejahtera Terima kasih di atas pandangan yang cukup bernas dari pihak Puan. Walauapa jua cara, kriteria terkini yang dilihat pada setiap calon adalah keputusan CGPA terakhir. Sekian, terima kasih.

     

  • Tahun 2015

    Bil. Pengguna Pendapat / Cadangan / Pertanyaan Maklum Balas / Tindakan
    1. Sharina Abdul Rani Saya ingin bertanya. Sekiranya status "MELEPASI SYARAT-SYARAT SEMASA YANG DITETAPKAN OLEH SURUHANJAYA " dan Tarikh Tutup Urusan adalah pada 08/01/2015 untuk jawatan PENOLONG PEGAWAI ANTIDADAH GRED S27. sekiranya jawatan ini telah diisi dan ditutup; 1. Adakah calon akan dimaklumkan jika tidak berjaya dengan menukar status urusan? 2. Ataupun Ia kekal seperti itu sehingga masa hadapan apabila kekosongan jawatan itu dibuka semula? Sekian terima kasih Salam sejahtera. Tuan/puan, Dimaklumkan bahawa calon yang melepasi tapisan merupakan calon yang memenuhi syarat skim dan melepasi asas tapisan yang dikenakan. Urusan tersebut kini di peringkat akhir. Sekiranya nama calon disenarai pendek, maka calon akan dijadualkan untuk menduduki peperiksaan / program penilaian / temuduga. Calon yang berjaya dipanggil bagi urusan tersebut akan dihubungi melalui surat secara rasmi dari SPA dan juga akan dipaparkan di portal rasmi SPA. Oleh itu, dinasihatkan agar tuan/puan melayari laman web SPA dari semasa ke semasa bagi mendapatkan maklumat terkini. Sekian, terima kasih.
    2. Siti Ratmah Binti Salih Penusol Assalamualaikum dan salam sejahtera, saya ingin bertanya bilakah pengambilan untuk jawatan Penolong Pegawai Imigresen Gred 27 bermula. Sekian. Salam sejahtera. Tuan,/Puan, Dimaklumkan bahawa urusan pengisian jawatan tersebut akan dilaksanakan sejurus sahaja permohonan pengisian diterima daripada pihak kementerian/jabatan. Sekiranya tuan/puan memenuhi syarat skim dan melepasi tapisan yang ditetapkan, maka tuan/puan akan dipanggil ke urusan ujian/temuduga. 2. Oleh itu, dinasihatkan agar tuan/puan melayari laman web SPA dari semasa ke semasa bagi mendapatkan maklumat terkini. Sekian, terima kasih
    3. Muhammad Baha Bin Mohd Roslan 1.Adakah latihan separa perubatan bertaraf sijil seperti latihan jururawat masyarakat,latihan pembantu pembedahan pergigian dan latihan pembantu kesihatan awam perlu menduduki ujian khas /exam online sebelum di panggil temuduga @ terus dipanggil temuduga..bagi bulan julai .sila jelaskan. 2.Bilakah tarikh sebenarnya temuduga latihan separa perubatan bagi ambilan bulan julai? Salam sejahtera, 1. Calon yang melepasi syarat semasa yang ditetapkan bagi Latihan Separa Perubatan bertaraf Sijil hanya perlu menjalani sesi temu duga sahaja. 2. Tarikh penjadualan temu duga Latihan Separa Perubatan bagi urusan pengambilan Julai 2015 adalah seperti dibawah : - Latihan Separa Perubatan bertaraf Sijil : 02/03/2015 - 13/03/2015 - Latihan Separa Perubatan bertaraf Diploma : 30/03/2015 - 10/04/2015 Sekian, terima kasih.
    4. Noranirah Binti Norsidi Assalamualaikum & Salam 1 Malaysia. Saya penama di atas ingin bertanya mengenai jawatan Pembantu Operasi Gred N11. Saya ada memohon jawatan Pembantu Operasi Gred N11 dan status urusan melepasi syarat-syarat semasa yang ditetapkan oleh Suruhanjaya. Adakah temuduga bagi jawatan tersebut telah dijalankan oleh SPA? Sekian, terima kasih. Salam Sejahtera. Sukacita dimaklumkan bahawa saudari telah melepasi syarat semasa yang ditetapkan oleh Suruhanjaya untuk dipanggil temu duga bagi jawatan PEMBANTU OPERASI GRED N11 dan ianya masih dalam proses penjadualan temu duga. Calon yang berjaya untuk panggilan temu duga akan dimaklumkan melalui surat panggilan temu duga, Sistem Pesanan Ringkas (SMS), email dan juga boleh disemak di portal SPA di pautan Semakan Penjadualan Temu Duga. Ini adalah cara terbaik untuk tidak terlepas dari menghadiri sesi temu duga yang dijalankan. Oleh itu, dinasihatkan agar saudari melayari portal SPA dari semasa ke semasa bagi mendapatkan maklumat terkini. Dimaklumkan, calon yang menghadiri temu duga akan dipertimbangkan dengan adil dan saksama berdasarkan kompetensi dan prestasi semasa ditemu duga. Hanya calon yang memiliki penilaian tertinggi akan diperakukan Lembaga Temu Duga untuk dilantik bagi sesuatu jawatan. Diharap saudari dapat membuat persediaan yang rapi dalam temuduga yang bakal dihadiri kelak dan kami ucapkan semoga berjaya! Sekian, terima kasih.
    5. Nor Herdawati Binti Awang Saya seperti nama di atas ingin memohon pertukaran tempat temuduga.saya telah menerima panggilan temuduga bagi jawatan separa perubatan dari pihak tuan yang bertarikh 15 april 2015 bertempat dipusat temu duga spa alor setar, kedah tingkat 8, wisma persekutuan, jalan kampung baru, 05000 alor setar, kedah.saya memohon untuk menukar tempat temuduga saya di melaka.saya memohon maaf di atas kesulitan dari pihak saya.kerjasama dari pihak tuan saya dahulu kan dengan ucapan ribuan dan jutaan terima kasih. Salam sejahtera, Berkenaan pertukaran tarikh/tempat temu duga adalah dimaklumkan bahawa puan boleh mengemukakan emel kepada Puan Fathin Soraya (This email address is being protected from spambots. You need JavaScript enabled to view it.) beserta alasan yang kukuh. Pertukaran adalah tertakluk kepada persetujuan Suruhanjaya. Sila kemukakan maklumat berikut untuk rujukan : Nama: No. Kad pengenalan: Jawatan yang dipanggil temu duga: Tarikh / Tempat temu duga yang ingin dipohon: Sebab pertukaran beserta dokumen lampiran: Sebarang pertanyaan sila hubungi Puan Fathin Soraya di talian 03-8885 6252 atau unit sokongan Bahagian Pengambilan Khas ditalian berikut; 03-88856266 / 6273 / 6299 / 6283 / 6438 / 6289 ( Unit Temuduga) Sekian, terima kasih.
    6. Siti Zuriati Binti Abdullah Zawawi Salam.. Saya mendapat panggilan pemeriksaan fizikal dan ujian kecergasan N41 (Pegawai Penguatkuasa KPDNKK) pada 8hb Jan 2015. Sekarang saya hamil 15minggu. adakah pihak tuan memberi pengecualian pada wanita hamil atau saya perlu juga hadir pd hari ujian tersebut. terima kasih. Assalamualaikum & Salam 1Malaysia, Terima kasih atas maklum balas puan. Sekiranya puan berminat menjalani proses pemeriksaan fizikal, mohon kerjasama puan untuk membawa buku temu janji klinik. Walau bagaimanapun, ingin dimaklumkan bahawa calon mengandung tidak digalakkan untuk terus ke peringkat berkawad dan kecergasan. Sebagai salah satu syarat kelayakan, calon adalah diwajibkan LULUS untuk semua item daripada peringkat awal iaitu pemeriksaan pancaindera sehingga ujian kecergasan untuk melayakkan diri ke peringkat temu duga. Manakala, di peringkat kecergasan tersebut calon perlu membuat larian 2.4 KM, bangkit tubi, lompat berdiri dan larian ulang alik. Untuk makluman puan, pihak SPA tidak akan senaraihitamkan calon yang tarik diri/tidak hadir ke urusan ini. Puan akan dipanggil semula bagi urusan yang akan datang mengikut syarat-syarat semasa suruhanjaya. Sekian, terima kasih.
    7. Aini Anak Achong Salam 1 Malaysia. Terima kasih kepada pihak SPA kerana menyediakan kemudahan yang sewajarnya untuk memudahkan orang awam mengetahui peluang pekerjaan di dalam sektor awam khususnya kepada remaja dan belia yang sedang mencari pekerjaan. Melalui keluhan yang saya dengar daripada peserta peperiksaan, pendapat saya ialah supaya peperiksaan yang diduduki secara online dijalankan dengan lebih sistematik kerana masalah kami di Sarawak khususnya dari kawasan luar bandar sukar untuk mendapat talian internet yang baik. Akibatnya talian internet yang tidak baik ini, soalan peperikasaan tidak dapat diakses dan terlepas masa pula. Untuk mendudukinya semula tidak dapat kerana masa telah peperiksaan tamat. Ini menyebabkan mereka yang menduduki peperikaan ini terlepas peluang. Oleh itu kita mohon supaya pihak SPA mencari cara yang terbaik bagi menyelesaikan masalah ini. Terima kasih. Puan, Terima kasih atas keperihatinan puan terhadap perkara ini. Pihak SPA ambil maklum dan sentiasa berusaha untuk memberikan perkhidmatan yang terbaik kepada semua calon. Dengan komen yang membina daripada calon membolehkan pihak kami mengenalpasti permasalahan calon. Tindakan yang sewajarnya akan kami usahakan dari semasa ke semasa. Sekian, terima kasih.
    8. Mohd Suhaidi Bin Ibrahim Saya seperti nama diatas telah mendapat panggilan untuk pemeriksaan fizikal, pancaindera dan kecergasan penolong penguasa bomba gred KB29 dan pusat peperiksaan di Kota Bharu, Kelantan tarikh 22/3/2015 Saya menghadapi kesukaran untuk pulang ke Kelantan bagi menghadiri peperiksasan yang dijalankan. Oleh sebab itu saya ingin meminta untuk pertukaran pusat peperiksaan ke Putrajaya Diharap pihak tuan boleh memberi kebenaran pada saya untuk menukar pusat temuduga yang akan dijalankan pada 22/03/2015 ini. Jasa baik tuan amat saya hargai. Terima kasih, Assalamualaikum tuan, Urusan pemeriksaan fizikal dan temuduga penolong penguasa bomba gred KB29 Dimaklumkan bahawa permohonan tuan untuk bertukar pusat telah diluluskan. Sila hadirkan diri pada tarikh dan tempat seperti berikut: Nama : Mohd Suhaidi Bin Ibrahim No K/P : 810403036169 Tarikh : 22 Mac 2015 Hari : Ahad Tempat : Jabatan Bomba Dan Penyelamat Malaysia, Lebuh Wawasan, Persint 7, 62250 Putrajaya Sila bawa bersama surat panggilan pemeriksaan fizikal, pancaindera dan kecergasan penolong penguasa bomba gred KB29 pada hari tersebut Harap maklum
    9. Nurhafizah Bt Mohamed Salim Berhubung dengan perkara diatas saya ingin membuat pertanyaan, jika lulus Peperiksaan Memasuki Perkhidmatan Awam berapa lamakah tempoh sah laku Peperiksaan tersebut? Sekian Terima Kasih. Puan, Tempoh sah laku adalah 2 tahun. Namun yang demikian tertakluk sekiranya ada permohonan perubahan daripada Jabatan/ Kementerian dan mendapat kelulusan Suruhanjaya. Sekian, terima kasih.
    10. Muhammad Muizzuddin Bin Samiun Salam sejahtera, seperti tertera di atas, saya telah lupa kata laluan saya, dan apabila saya cuba untuk mensetkan semula, saya tidak berjaya,, ini kerana ditulis nama ibu pemohon atau negeri kelahiran tidak wujud/tidak betul. saya telah memasukkan dengan betul, tetapi tidak berjaya. Salam Sejahtera, Tuan/Puan, Terima kasih kerana menggunakan perkhidmatan e-Pertanyaan SPA. Sekiranya tuan/puan terlupa kata laluan, sila BERIKAN No KP, Nama Penuh, Nama Ibu dan Negeri Kelahiran tuan/puan untuk semakan SPA atau anda cuba masukkan nama ibu (first name) sahaja. Tiada lagi penghantaran emel untuk pengaktifan akaun, emel hanya digunakan sekiranya tuan/puan melepasi syarat tapisan serta dipanggil untuk menduduki peperiksaan atau temuduga. Sekian, terima kasih. Suruhanjaya Perkhidmatan Awam Malaysia.
  • Tahun 2014

    Bil. Pengguna Pendapat / Cadangan / Pertanyaan Maklum Balas / Tindakan
    1. Norfazlina Binti Surip Salam. Saya ingin bertanya mengenai status permohonan no urusan sm20130198 pegawai sains mikrobiologi perubatan (kkm). Status permohonan saya bagi jawatan ini "melepasi syarat syarat ditetapkan", adakah saya dipanggil untuk temuduga bagi jawatan ini?apakah status permohonan saya? Adakah setiap urusan yang berstatus " melepasi syarat syarat ditetapkan" akan dipanggil temuduga? Jika demikian, saya tidak mendapat panggilan temuduga untuk jawatan ini. Apakah yang bole saya lakukan? Harap mendapat penjelasan. Terima kasih. Salam sejahtera. Saudari, Dimaklumkan bahawa calon yang melepasi tapisan merupakan calon yang memenuhi syarat skim dan melepasi asas tapisan yang dikenakan. Urusan tersebut kini di peringkat akhir, sekiranya nama saudara disenarai pendek, maka akan dijadualkan untuk temuduga. Oleh itu saudari disarankan melayari portar rasmi dari masa kesemasa untuk mengetahui kedudukannya, Sekian, terima kasih.
    2. Muhamad Aliff Bin Basarudin Hai...saya ingin membuat pertanyaan.tentang semakan.maksud tidak melepasi syarat yang ditetapkan tu macam mana ya?mohon jawapan terima kasih Salam 1 Malaysia Tuan, Adalah dimaklumkan bahawa setiap permohonan pekerjaan dalam perkhidmatan awam yang diterima oleh Suruhanjaya akan didaftarkan dan diproses terlebih dahulu. Sekiranya tuan memenuhi syarat skim dan melepasi tapisan yang ditetapkan oleh Suruhanjaya ini, iaitu seperti bidang pengkhususan yang dimiliki atau CGPA atau kombinasi subjek (bagi jawatan yang menggunakan kelayakan masuk SPM/STPM) akan dipertimbangkan pada masa urusan pengisian jawatan tersebut dibuat. Jika kekosongan sesuatu jawatan sedikit/terhad dan calon yang memohon adalah ramai maka tapisan akan dipertingkatkan atau sebaliknya. Walaubagaimanapun, pengkhususan bidang juga tertakluk kepada permohonan daripada jabatan/kementerian. SPA hanya mengenakan tapisan kepada calon berdasarkan pengkususan bidang yang telah ditetapkan oleh jabatan/kementerian terlibat. Sekian, terima kasih.
    3. Diana Sakinah Binti Kamarunzaman Assalamualaikum dan salam sejahtera.. Saya merupakan pelajar tahun akhir, berstatus berijazah kelulusan dari USM, pengkhususan Audiologi. Saya telah pun menghantar permohonan untuk jawatan sebagai Pegawai Pemulihan Perubatan (Pendengaran) pada bulan April yang lepas, semasa saya berstatus pelajar akhir. Jadi, adakah saya perlu menghantar keputusan akhir peperiksaan saya ke SPA untuk rekod pihak tuan dan sekiranya perlu, tolong nyatakan alamat dan maklumat yang perlu saya lampirkan.. Terima Kasih Salam 1 Malaysia Puan, Berkaitan dengan perkara tersebut, puan perlu mengemaskini CGPA terakhir pada permohonan jawatan di SPA8i.Sekiranya puan memenuhi syarat skim dan melepasi tapisan yang ditetapkan oleh Suruhanjaya pada masa yang akan datang maka puan akan dipanggil untuk urusan tersebut. Sekian.
    4. Muhammad Gaddafi Bin Zawawi Assalamualaikum..tuan/puan bagaimanakah cara untuk saya mohon jawatan dalam separa perubatan seperti juxray,jurupulih anggota dan lain-lain. Wassalam Salam sejahtera. Puan boleh mendapatkan maklumat lanjut mengenai perkara ini dengan menghubungi unit sokongan Bahagian Pengambilan Khas ditalian berikut; 03-88856254 / 6264 / 6267 / 6281 / 6436 (Separa perubatan) 03-88856270 / 6268 / 6457 / 6453 ( Unit Pendaftaran ) Sekian,terima kasih.
    5. Fahzliman Ermand Selamat Sejahtera Tuan / Puan - Semasa mengisi data keputusan SPM 2000 tidak dapat di kemaskini dan juga SPM Ulangan 2003. Adakah SPM terbuka tidak boleh melebihi 3 tahun untuk mengisi keputusan di borang on line SPA. - Apa maksud status ini tolong jelaskan saya: Tarikh Tutup Urusan :18/02/2013 No. Urusan :(SM20130029) Status Urusan :TIDAK MELEPASI SYARAT-SYARAT SEMASA YANG DITETAPKAN OLEH SURUHANJAYA - Tujuan saya nak isi kekosongan Jawatan PENOLONG PEGAWAI PENDAFTARAN GRED KP27. Jasa Baik Tuan / Puan amat saya hargai Salam sejahtera, Saudara boleh mendapatkan maklumat lanjut mengenai perkara ini dengan menghubungi Unit Pendaftaran, SPA Bahagian Pengambilan Khas di talian 03-88856270 /6268 / 88806457 / 88806453 atau emel terus kepada This email address is being protected from spambots. You need JavaScript enabled to view it. 'TIDAK MELEPASI SYARAT-SYARAT SEMASA YANG DITETAPKAN OLEH SURUHANJAYA', ianya bermaksud calon tidak melepasi syarat-syarat yang ditetapkan dalam urusan tersebut sama ada bidang pengkhususan/kelayakan/cgpa/gred mata pelajaran. Syarat yang ditetapkan berubah-berubah mengikut keperluan Kementerian/Jabatan yang memerlukan pengisian. Sekian, terima kasih.
    6. Fazilah Bt Othman saya meneruskan pembelajaran di pusat latihan perindustrian teknologi tinggi (ADTEC KULIM),di bawah Jabatan Tenaga Manusia.saya mengambil kos Diploma Electronic Industri selama 24bulan.adakah Diploma saya ini di iktiraf @ sebaliknya? Salam sejahtera, Sila semak dahulu pengiktirafan kelayakan bagi diploma/sijil yang dimiliki dengan klik kepada pautan eSisraf Sistem Pengiktirafan kelayakan dalam borang SPA8i. Masukan nama Institusi dan pilih medan pengkhususan yang disenaraikan oleh JPA dalam medan yang disediakan dalam Sistem eSisraf tersebut. Selain itu, saya cadangkan kepada tuan/puan agar menggunakan Google Chrome atau Mozilla Firefox kerana ada masalah sedikit pada Internet Explorer atau safari dan berkemungkinan masalah tuan/puan tidak boleh kemaskini pada pilihan bidang pengkhususan adalah mungkin tuan/puan menggunakan pelayar (Browser) internet jenis Internet Explorer atau safari. Sebagai peringatan, sekiranya diploma/sijil yang anda perolehi masih belum diiktiraf oleh Kerajaan bagi maksud lantikan dalam perkhidmatan awam (iaitu ijazah/diploma/sijil tiada dalam eSisraf), sila berhubung dengan Jabatan Perkhidmatan Awam (JPA) mengenai pengiktirafan tersebut. Tuan/puan tidak dibenarkan mengisi bidang pengkhususan dari institusi yang masih belum diiktiraf kerajaan bagi maksud pelantikan dalam perkhidmatan awam dalam Borang SPA8i ini. Sekiranya masih gagal, sila berhubung terus dengan Unit Pendaftaran di talian 03-8885 6270/ 6268/ 6269/ 88806457 / 88806453 untuk bantuan lanjut. SPA memohon maaf di atas kesulitan yang dihadapi. Sekian, terima kasih.
    7. Kalaivani Batumalai Salam sejahtera tuan, Saya ingin bertanyakan adakah saya layak dipanggil menduduki peperiksaan kerana masih belum menerima sebarang panggilan untuk menduduki peperiksaan untuk kategori jawatan Ijazah atau Sarjana. Mohon maklum balas pihak tuan. Sekian, terima kasih. Salam sejahtera Tuan Mana-mana calon yang ada memohon jawatan dengan SPA akan dipanggil ke urusan peperiksaan / temuduga APABILA ADA PERMOHONAN PENGISIAN KEKOSONGAN JAWATAN DARIPADA KEMENTERIAN / JABATAN. Calon yang layak juga mesti melepasi syarat semasa daripad Kementerian / Jabatan dan SPA. Tuan juga boleh semak status jawatan yang dipohon melalui mykid tuan sendiri yang dibuat semasa mendaftar kerana ada makluman berkaitan dengan jawatanh yang ada dipohon. Sekian.
    8. Adzwan Alias Bin Rafael assalamualikum dan selamat tengah hari, saya adzwan alias ingin bertanyakan tentang jawatan PDRM yang telah saya daftar dari tahun 2011. adakah saya patut kemaskini kan pemohonan saya dan apakah patut saya nyatakan di bahagian pemohonan yang saya bsekarang berkhidmat sebagai Sukarelawan Simpanan Polis Diraja ( SSPDRM ). apakah saya patut nyatakan dalam borang pemohonan saya di Spa tentang perlibatan saya ini untuk menguatkan permohonan PDRM saya? Untuk memastikan pendaftaran anda tidak luput, sila semak status permohonan melalui MyID yang akan memaparkan tarikh daftar, tarikh luput permohonan serta status permohonan anda. Jika sudah luput anda perlu menyemak, mengemaskini dan klik simpan semua maklumat dan klik hantar supaya permohonan anda akan diproses. Maklumat sebagai sukarelawan tiada dalam permohonan SPA. Untuk makluman, SPA hanyalah menguruskan urusan permohonan sahaja manakala perjawatan/urusan pengambilan adalah diuruskan oleh PDRM sendiri. Oleh yang demikian, segala pertanyaan mengenai perjawatan/urusan pengambilan hendaklah dirujuk dengan pihak PDRM di Portal PDRM www.rmp.gov.my.
    9. Teh Kim Sin Tuan, saya telah mendaftar dan memohon semasa saya masih dalam pengajian master. Selepas itu, saya baru tahu bahawa pelajar tahun terakhir tidak dibenarkan membuat permohonan. Atas sebab di atas, permohonan saya tidak melepasi syarat yang ditetapkan oleh SPA. Selepas saya tamat pengajian master, saya mengemaskinikan maklumat pengajian saya dan membuat pembaharuan dalam beberapa jawatan yang dipohon, tetapi semakan status permohonan belum membuat sebarang pengemskinian seperti tarikh yang didaftar masih kekal dan tidak berubah dengan tarikh lama yang saya memohon pertama kali dan jawatan yang saya pohon tidak mengalami perubahan walaupun saya telah membuat perubahan.Sekian, terima kasih. Bolehkah saya membuat pendaftaran baru dengan myID? Saudara Semakan mendapati, pada menu pengajian tinggi tidak lengkap diisi. Tiada maklumat bidang dan pengkhususan dimasukkan. Sila lengkapkan maklumat yang bertanda *. Semak juga maklumat saudara di RESUME sebelum penghantaran maklumat dilakukan. Pastikan maklumat yang dimasukkan pada setiap menu berpadanan maklumatnya. Jika tidak padan maklumat permohonan saudara tidak terkini. Jika maklumat yang dimasukkan sama dan lengkap baru klik HANTAR. Semak semula di menu SEMAKAN PERMOHONAN pastikan tarikh daftar dan tarikh permohonan adalah sama. Jika sama, maklumat terkini saudara diterima di pihak kami. Jika tidak sama sila semak semula maklumat yang saudara masukkan adakah ia dipaparkan di resume atau pun tidak. Sekian, terima kasih.
    10. Atikah Hairani Binti Abdul Hamid salam 1malaysia..bagaimana cara untuk membolehkan saya update result spm saya kerana terdapat sedikit kesilapan dalam result spm tersebut..tidak seperti di ruangan pmr dan stpm terdapat button "-" di setiap subjek...harap ada jalan penyelesaian. Sila emelkan salinan result SPM anda ke This email address is being protected from spambots. You need JavaScript enabled to view it. atau This email address is being protected from spambots. You need JavaScript enabled to view it. untuk semakan. Result SPM adalah daripada Lembaga Peperiksaan Malaysia dan tidak boleh diubah.

Continue reading

Permohonan Mendapatkan Maklumat

Permohonan Mendapatkan Maklumat

Jika anda mempunyai sebarang permohonan untuk mendapatkan maklumat mengenai Suruhanjaya Perkhidmatan Awam Malaysia, sila kemukakan permohonan anda secara rasmi ke :

Suruhanjaya Perkhidmatan Awam Malaysia,
Aras 1, 2 & 4 -13, Blok F1, Kompleks F,
No.2, Lebuh Perdana Timur A, Presint 1,
Pusat Pentadbiran Kerajaan Persekutuan,
62000 Putrajaya, Malaysia.

Telefon: +603 8091 9000

**Penafian - Permohonan sebarang maklumat dan data yang dipohon masih lagi bergantung kepada keputusan Suruhanjaya

    Continue reading

    Program Outreach SPA

    Program Outreach SPA

    Hi, selamat pagi geng #SPAOhsem semua 🥳👋
    Berita baik buat warga Putrajaya dan kawasan sekitarnya❗
    🌟 Hari Terbuka SPA @ Putrajaya 2024 🌟
    📅 Tarikh: 2 November 2024 (Sabtu)
    ⏰ Masa: 9.00 pagi – 5.00 petang
    📍 Lokasi: Dewan Damar Sari 1, 2 & 3, Aras 3, Blok F8, Kompleks F, Putrajaya
    Untuk makluman awal, min nak geng #SPAOhsem semua ingat tarikh ni siap-siap tau ☝️
    Jadi, untuk sebarang maklumat lanjut, nantikan pengumuman terkini daripada min dari masa ke semasa. 🤩
    Jangan lupa terus ikuti kami untuk ketahui atur cara dan aktiviti menarik sepanjang program berlangsung. 🚀🎊

    Continue reading

    Urus Setia Sarawak

    Urus Setia Sarawak

    • Objektif

      Suruhanjaya Perkhidmatan Awam Malaysia, Urusetia Sarawak adalah bertanggungjawab kepada urusan pengambilan dan perkhidmatan anggota Perkhidmatan Awam Persekutuan di Negeri Sarawak. Urus setia juga melaksanakan tanggungjawabnya dengan memberi bimbingan dan khidmat nasihat berkenaan peluang - peluang kerjaya dalam perkhidmatan awam dan urusan perkhidmatan anggota Perkhidmatan Awam Persekutuan di Negeri Sarawak.

    • Fungsi

      Fungsi urusetia ini sebagaimana tertakluk dalam Perlembagaan di bawah perkara 144 dan 144(1), merangkumi perkara seperti berikut:-

      • Menguruskan urusan pengambilan Separa Perubatan bagi Negeri Sarawak dan menyelaras urusan pengambilan bagi kekosongan jawatan dalam Perkhidmatan Awam Persekutuan di Negeri Sarawak.
      • Menguruskan Urusan Perkhidmatan bagi anggota Perkhidmatan Awam Persekutuan di Negeri Sarawak.
      • Mengendalikan Urusan Peperiksaan Perkhidmatan Awam Malaysia dan Perkhidmatan yang ditetapkan oleh Kementerian/Jabatan Perkhidmatan Awam Malaysia.
    • Piagam Pelanggan

      • Mengurus Urusan pengambilan untuk mengikuti latihan dan tawaran ke jawatan tetap bagi jawatan separa perubatan dalam tempoh 8 minggu.
      • Menguruskan urusan perkhidmatan seperti Pengesahan Perkhidmatan, Pemberian Taraf Berpencen, Pelanjutan Tempoh Percubaan dan Penetapan Gaji Pemulaan dalam tempoh 6 minggu.
      • Mengurus urusan Peperiksaan Dalam Perkhidmatan dan Peperiksaan Pra Perkhidmatan mengikut Jadual seperti di Kalender Peperiksaan Tahunan di samping menjaga keselamatan dan kerahsiaan kertas soalan dan kertas jawapan peperiksaan.
    • Aktiviti Utama Bahagian Dasar dan Perancangan

      Pengambilan

      • Operasi komputer.
      • Menyediakan jadual penyenggaraan perkakasan dan perisian sistem.
      • Perancangan luar jangka keselamatan komputer.
      • Merancang & merekabentuk sistem rangkaian.
      • Mentadbir & mengurus sistem rangkaian.
      • Menyedia & mengemaskini dokumentasi sistem rangkaian.
      • Menyelia tatacara penyenggaraan.
      • Mengurus keselamatan ICT SPA.

      Perkhidmatan

      • Melaksanakan urusan Pengesahan Lantikan.
      • Menguruskan urusan Penetapan Gaji Masuk, Pelanjutan Tempoh Percubaan, Pengesahan Dalam Perkhidmatan dan Pemberian Taraf Berpencen.
      • Menguruskan urusan Penamatan Perkhidmatan.
      • Menjalankan naziran ke Kementerian/Jabatan Persekutuan di Negeri Sarawak.

      Peperiksaan

      • Mengurus dan melaksanakan aktiviti Peperiksaan Suruhanjaya Perkhidmatan Awam yang ditetapkan dari semasa ke semasa.
      • Mengurus dan melaksanakan aktiviti peperiksaan yang ditetapkan di dalam Kalendar Tahunan Peperiksaan Perkhidmatan Awam Malaysia.
      • Mengurus dan menyelaras taklimat Peperiksaan Perkhidmatan Awam Malaysia di pelbagai Kementerian dan Jabatan Persekutuan di Sarawak.

    Continue reading

    Borang


    Urusan Pengambilan

    Urusan Separa Perubatan

    Urusan Perkhidmatan

    Continue reading

    Perutusan

    Perutusan

    Assalamualaikum dan Salam Sejahtera

    Selamat Datang ke Portal Rasmi Suruhanjaya Perkhidmatan Awam Malaysia (SPA).

    SPA merupakan sebuah badan bebas yang dipertanggungjawabkan dengan fungsi melantik, mengesahkan dalam perkhidmatan, memberi taraf berpencen, menaikkan pangkat, menukar dan menjalankan kawalan tatatertib ke atas anggota dalam perkhidmatan di bawah bidang kuasanya mengikut peruntukan Fasal (1) Perkara 144 Perlembagaan Persekutuan. Selain itu, SPA juga merupakan pihak berkuasa melantik bagi perkhidmatan awam Negeri Melaka, Negeri Sembilan, Pulau Pinang dan Perlis.

    SPA sentiasa bergerak ke depan demi mencapai matlamat dengan memperkasakan empat (4) teras strategik utama SPA iaitu:

    1. Pelantikan penjawat awam yang menepati keperluan dan cabaran semasa;
    2. Kaedah penilaian ke arah mendapatkan calon yang kompeten;
    3. Urusan perkhidmatan penjawat awam yang cekap dan teratur; dan
    4. Tadbir urus terbaik ke arah kecemerlangan organisasi.

    SPA telah melaksanakan usaha pendigital secara konsisten ke arah mencapai pendigital sepenuhnya menjelang tahun 2025.

    Pendigital dapat memperkukuhkan ketelusan dan meningkatkan kecekapan serta menepati dasar kebangsaan mengenai IR 4.0 iaitu Industry4WRD.

    Mulai Januari 2020, Portal SPA juga turut diberi pembaharuan dari segi penampilan dan kandungan selain masih berfokuskan ciri mesra pengguna. Portal ini menyediakan pelbagai urusan utama seperti;

    1. Sistem Pendaftaran Pekerjaan Suruhanjaya Perkhidmatan Awam Malaysia (SPA9)
    2. Maklumat penjawatan yang merangkumi gaji, syarat lantikan dan deskripsi tugas
    3. Maklumat / iklan kekosongan jawatan semasa
    4. Semakan Status Permohonan
    5. Semakan Urusan Perkhidmatan
    6. Sistem eSISPAA, MySTP dsb

    Adalah diharapkan portal ini terus menerus menjadi sumber rujukan dan maklumat yang bermanfaat untuk diakses secara terus kepada pengguna selain menjadi ruang interaksi dan penghubung dalam menerangkan dasar-dasar berkaitan mahupun prosedur semasa secara telus kepada semua.

    Semua pelawat portal ini turut dialu-alukan memberikan pandangan dan cadangan berhubung penambahbaikan perkhidmatan SPA seiring dengan usaha untuk meningkatkan mutu pencapaian perkhidmatan kami.


    Terima kasih.

    Setiausaha
    Suruhanjaya Perkhidmatan Awam Malaysia

    Continue reading

    Sertai Kami !!!